Redefining Fat Oxidation in High-Intensity Interval Training
Redefining Fat Oxidation in High-Intensity Interval Training
As it turns out, much of the problem lies in the assumptions made about the methods used to assess substrate utilisation (i.e. the proportion of fat and carbohydrate used for energy) during exercise.
Indirect calorimetry is the fancy scientific name given to the traditional method of determining substrate utilisation during exercise or at rest. In a nutshell, this technique measures the amount of carbon dioxide (CO2) exhaled and oxygen (O2) consumed. This information is then plugged into fancy mathematical formulas to compute how much fat and carbohydrate are burnt.
Indirect calorimetry has been proven to be very accurate for determining fuel usage at low to moderate exercise intensities. But once you really start huffing and puffing, its accuracy diminishes. Even so, exercise scientists have always believed once exercise intensity is high enough to prevent one from having a conversation – then fat burning is basically non-existent!
However, the study lead by Dr Paul Larsen from the High Performance Sport New Zealand and the Sports Performance Research Institute in New Zealand has shed new light on the matter; suggesting the amount of fat burned during high intensity exercise may be highly dependent on an individuals conditioning (i.e. fitness).
The other key piece of the puzzle is once lactate threshold is exceeded, the extra lactate spills out from muscle into blood, where it's buffered by a substance called bicarbonate (HCO3-). As displayed in the graph below, this process results in the generation of CO2, which is why breathing becomes so laboured at high exercise intensities (i.e. >85% VO2max). It’s simply the body’s mechanism for offloading extra toxic CO2.

But the problem with this scenario when measuring carb and fat utilisation is that this increased CO2 expiration is computed as a an increase in carbohydrate oxidation, which is not strictly the case. The extra CO2 is simply coming from the added bicarbonate and lactate load (during high intensity), rather than being generated by the body through the normal metabolism of carbohydrate to CO2 and water for ATP production.
To circumvent this issue, researchers in the current study used a modified indirect calorimetry formula that accounts for some of the extra CO2 output that occurs at higher exercise intensities1. They took two groups of runners: (1) well trained runners, and; (2) recreational runners. Subjects in the well trained group included regional level distance runners and national level orienteers training 6-10 session weekly. As for the recreational runners, on average they were performing endurance-type training 2-4 times per week.
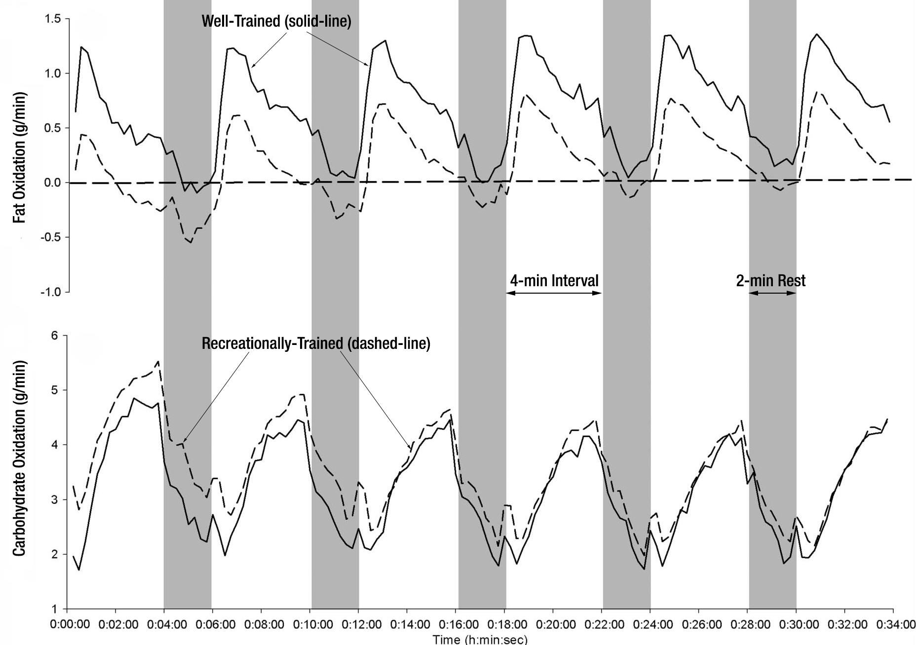
Rather than perform steady state exercise, the researchers had each group perform a high-intensity interval training session (HIIT) that consisted of 6 x 4 min intervals at maximum pace interspersed by 2 min rest. They then used their modified indirect calorimetry method to determine the relative rates of fat and carbohydrate use through the session2.
Naturally, runners in the well trained group maintained a much higher pace in each interval compared with the recreational runners. But the differences in speed and energy usage were not explained in the main part by carbohydrate oxidation, but rather fat oxidation. The graph below provides a good visual of the key differences in carbohydrate and fat oxidation. It’s clearly evident that the main differences were in fat oxidation versus carbohydrate.

In the words of the study’s authors:
“Well-trained runners oxidised nearly three times more fat than recreationally trained athletes during HIT.
The greater capacity to perform high-intensity intermittent work is mostly explained by the higher fat oxidation rates in well-trained runners.”
The findings of this study suggest that the capacity to burn fat at high exercise intensities is likely one of the key adaptations that confers superior performance in endurance athletes. Indeed it seems its one of the qualities that separates elite athletes from ‘also rans’.
The logical question for researchers now is how this quality might be enhanced with specific training and/or nutritional practices. The study is expected to draw a lot of attention from advocates of the low carb high fat diet and athletes/coaches who employ training sessions with low glycogen stores and or restricted carbohydrate intake before/during/after.
1. Jeukendrup AE & Wallis GA. Measurement of substrate oxidation during exercise by means of gas exchange measurements. International Journal of Sports Medicine. 2005;26(Suppl 1):S28-S37.
2. Hetlelid KJ, et al. Rethinking the role of fat oxidation: substrate utilisation during high-intensity interval training in well-trained and recreationally trained runners. BMJ Open Sport Exerc Med. 2015;0:e000047.

0 comments